2 avril 2026
5 min
Bienvenue sur LeFil.vet
L'accès au site web nécessite d'être identifié.
Merci de saisir vos identifiants de connexion.
Indiquez votre email dans le champ ci-dessous.
Vous recevrez un email avec vos identifiants de connexion.
Pour la première fois en France (et sans doute en Europe), un médicament vétérinaire à base d’amlodipine (Amodip°, Ceva), un inhibiteur calcique, est autorisé comme antihypertenseur.

Consensus et controverses.
Consensus. L’amlodipine est le traitement de choix de l’hypertension artérielle (HTA) des chats. De plus en plus souvent diagnostiquée, l’affection atteint surtout des chats âgés de plus de dix ans, voire quinze ans.
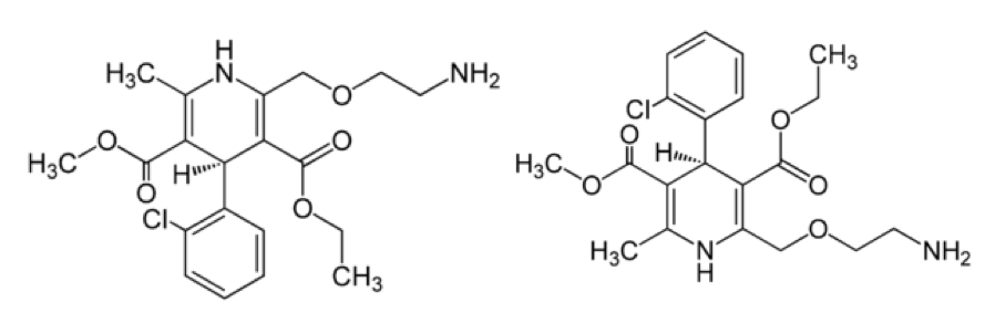
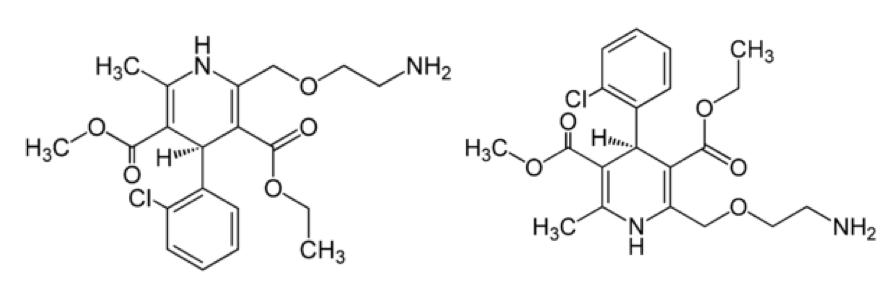
Controverses. L’Agence européenne du médicament a donné un avis défavorable à un comprimé dosé à 1 mg d’amlodipine (Lodipressin°) développé par le laboratoire néerlandais Le Vet. Simultanément, l’Agence nationale du médicament vétérinaire (Anses-ANMV) donne, à l’inverse, une AMM au laboratoire français Ceva-Sogeval pour un comprimé, Amodip°, dosé à 1,25 mg d’amlodipine dans cette même indication.
Jusqu’à présent, seuls des médicaments humains (Amlor° ou génériques) pouvaient être prescrits dans le cadre de la cascade avec, toutefois, une galénique en gélules et des dosages inadaptés à la taille des chats.
L’amlodipine est un inhibiteur calcique de la famille des dihydropyridines. Il agit en se liant aux canaux calciques de type L et en provoquant une vasodilatation des artères et artérioles (sans action sur la circulation veineuse).
L’intensité et la durée de l’effet hypotenseur sont dose-dépendantes. Son action lente permet d’éviter une tachycardie réflexe qui pourrait être provoquée par une chute trop brutale de la tension artérielle.
Son action sur le muscle cardiaque pourrait aussi provoquer une bradycardie et un effet inotrope négatif. Ces effets n’ont pas été observés chez les chats dans les études de tolérance sur 26 semaines.
L'amlodipine se présente sous la forme de deux énantiomères R (à droite) et S (à gauche). 
Les comprimés Amodip°, appétents et sécables en deux, contiennent 1,25 mg d’amlodipine (sous forme de bésilate). Il s’agit d’un traitement long de l’hypertension artérielle chez les chats, sur plusieurs mois, voire à vie. Dans le cadre du dossier d’AMM, les essais cliniques et de tolérance ont été réalisés sur six mois. Les présentations autorisées vont de la boîte de trente comprimés, soit un mois de traitement pour les chats pesant entre 5 et 10 kg, jusqu’à des boîtes de 100 ou 200 comprimés.
Ceva n’a pas encore annoncé de date de lancement de cette spécialité.
« Avant d’initier le traitement », le RCP (résumé officiel des caractéristiques du produit) « recommande de confirmer l’hypertension par une mesure de la pression artérielle systolique ». En clinique vétérinaire, c’est plus facile à dire qu’à faire. Car, « l’effet blouse blanche » peut conduire à un surdiagnostic. Il est donc conseillé « d’acclimater l’animal en présence du propriétaire et de faire cinq à dix mesures successives par Doppler, et, en cas de doute, de répéter ses mesures une à deux semaines plus tard ».
En outre, l’hypertension n’est parfois qu’un signe d’autres affections concomitantes, comme fréquemment une hyperthyroïdie, une insuffisance rénale chronique ou un diabète. Ces causes primaires devraient donc « être identifiées et traitées ». Souvent, le traitement de ces causes primaires, notamment de l’hyperthyroïdie, suffit à normaliser la pression artérielle sans recourir à un antihypertenseur.
Chez les chats hypertendus, la dose est de 0,125 à 0,25 mg/kg d’amlodipine en une prise par jour (avec ou sans nourriture), soit un comprimé pour les chats pesant entre 5 et 10 kg, un demi-comprimé entre 2,5 et 5 kg et deux comprimés au-delà de 10 kg.
Si nécessaire, après 14 jours de traitement, les doses peuvent être augmentées jusqu’à 0,5 mg/kg au maximum. La pression artérielle du chat traite est suivie toutes les 6 à 8 semaines.
La biodisponibilité de l’amlodipine est de 74 % avec un pic plasmatique à 25 ng/ml à la dose de 0,25 mg/kg. Le fort volume de distribution de 10 L/kg signe une forte diffusion tissulaire.
L’amlodipine est métabolisée par le foie. Son élimination est lente avec une demi-vie de 53 heures. L’état d’équilibre est donc atteint seulement en deux semaines à la dose de 0,125 mg/ml.
Cette lente élimination hépatique justifie que l’amlodipine soit contre-indiquée en cas « d’insuffisance hépatique grave », ou, à utiliser avec précaution lors de « trouble hépatique » ainsi que lors « d’insuffisance cardiaque ou sur des animaux légers de moins de 2,5 kg ».
Dans l’essai clinique, des vomissements transitoires et modérés ont été observés dans 13 % des cas. D’autres effets « légers et transitoires » sont signalés dans le RCP : troubles digestifs (anorexie, diarrhée), léthargie, déshydratation.
A 0,25 mg/kg, une hyperplasie gingivale modérée avec une augmentation des nœuds lymphatiques sous-mandibulaires est fréquente chez les jeunes chats sains inclus dans l’essai de tolérance. Mais elle n’a pas été observée chez les chats âges hypertendus.
En surdosage à 0,75 mg/kg/j et 1,25 mg/kg/j sur 6 mois sur des jeunes chats sains, l’effet est plus marqué avec une gingivite et une hyperplasie lymphoïde des nœuds lymphatiques mandibulaires, associées à une diminution de la kaliémie et des concentrations en chlorures plasmatiques.
En surdosage plus élevé, à 1,75 mg/kg/j et 2,5 mg/kg/j, sur quatre chats sains (n = 4), le RCP rapporte un cas de mortalité et un cas de morbidité grave.
Le RCP met en garde sur des interactions théoriques avec d’autres médicaments hypotenseurs : les diurétiques, les IECA (bénazépril), un sartan (telmisartan) ou d’autres inhibiteurs du système rénine-angiotensine-aldostérone, les bêtabloquants, les alpha2agonistes (médétomidine), et d’autres vasodilatateurs ou inhibiteurs calciques…
L’essai clinique n’a toutefois pas mis en évidence de cas d’hypotension lors d’association avec le bénazépril. À l’inverse le RCP mentionne que « l’association d’un IECA et d’un inhibiteur des canaux calciques pourrait être bénéfique aux chats hypertendus présentant une protéinurie ».
Sur le muscle cardiaque, l’amlodipine a un effet reconnu inotrope ou chronotrope négatif (bradycardie). Cela conduit aussi le RCP à mentionner une mise en garde (théorique) avec les autres agents inotropes ou chronotropes négatifs : les bêtabloquants, les inhibiteurs calciques cardiosélectifs, les antifongiques imidazolés (itraconazole).
L’amlodipine est inscrite en liste I des substances vénéneuses. Amodip° ne pourra donc être vendu que sur ordonnance avec un renouvellement implicitement interdit sauf indication contraire du prescripteur. La délivrance est limitée à un mois de traitement en une seule fois sauf en cas de vente d’un conditionnement adapté à une durée plus longue, comme la boîte de 100 comprimés par exemple.
Suite à l’avis défavorable de l’Agence européenne du médicament contre les comprimés Lodipressin° dosés à 1 mg d’amlodipine, le laboratoire néerlandais Le Vet a déposé un recours qui est en cours d’examen. Si l’Agence européenne accepte finalement de revenir sur son premier avis défavorable, deux comprimés d’amlodipine dosés à 1 mg (Lodipressin°, Le Vet) et 1,25 mg (Amodip°, Ceva) seront donc autorisés à quelques mois d’intervalle.
2 avril 2026
5 min
1er avril 2026
4 min
31 mars 2026
6 min
30 mars 2026
3 min
28 mars 2026
1 min
27 mars 2026
4 min