30 janvier 2026
3 min
Bienvenue sur LeFil.vet
L'accès au site web nécessite d'être identifié.
Merci de saisir vos identifiants de connexion.
Indiquez votre email dans le champ ci-dessous.
Vous recevrez un email avec vos identifiants de connexion.

« Les larves de puces du chat se déplacent en étendant leur tête, guidées par leurs palpes maxillaires, et en tirant le reste de leur corps vers l'avant par une reptation », résument un groupe d'entomologistes et biologistes américains, dans les résultats de leurs enregistrements du déplacement des trois stades larvaires de Ctenocephalides felis.
Les larves de puces se déplacent pour l'essentiel pour deux raisons :
Plusieurs chercheurs se sont déjà penchés sur le déplacement des larves de puces (il y a 3 stades larvaires), les premiers dès le XIX siècle. Toutefois, les descriptions sont partielles et parfois conflictuelles.
Pour apporter leur contribution, ces auteurs ont acheté des œufs de puces du chat, et ont élevés les larves dans des installations protégées. Ils ont séparé les différents stades larvaires, et ont utilisé un appareil photo ultra-rapide (jusque 600 clichés par seconde), équipé d'objectifs macro (la largeur de la tête d'une L1 est d'environ 160 µm). Ils ont filmé différentes séquences avec les trois stades larvaires, d'abord sur une surface plane, puis sur une « surface complexe » (une moquette), en vue latérale. Pour quantifier le déplacement de ces larves, ils les ont filmées (sur surface plane) vues de haut.
Cela leur permet de décrire la biomécanique de cette reptation : « le mouvement vers l'avant débute par l'interaction des palpes maxillaires avec le substrat. La larve étire sa tête vers l'avant et l'incline vers le sol, guidée par ses palpes maxillaires pointant vers le bas. Une fois les palpes en contact avec le sol, la larve se propulse vers l'avant tandis que sa tête se recourbe, de sorte que l'avant de la tête, puis les antennes, touchent le sol ». La publication présente des clichés couleurs (issus des séquences capturées à 600 images par seconde) de ces mouvements, qui sont les mêmes pour les trois stades larvaires et sur surface plane comme sur moquette. « À ce stade, les segments corporels immédiatement postérieurs à la tête se soulèvent du substrat, et le corps de la larve prend une forme de crochet ou de ‘J', la tête étant située en dessous et légèrement orientée vers l'arrière. À partir de cette position, la larve relève la tête et l'étire vers l'avant pour recommencer le cycle de locomotion par traction de la tête ». Les soies présentes au long du corps semblent participer à l'équilibre et empêcher la larve de basculer sur un côté pendant la reptation. Des vidéos sont également jointes à la publication.
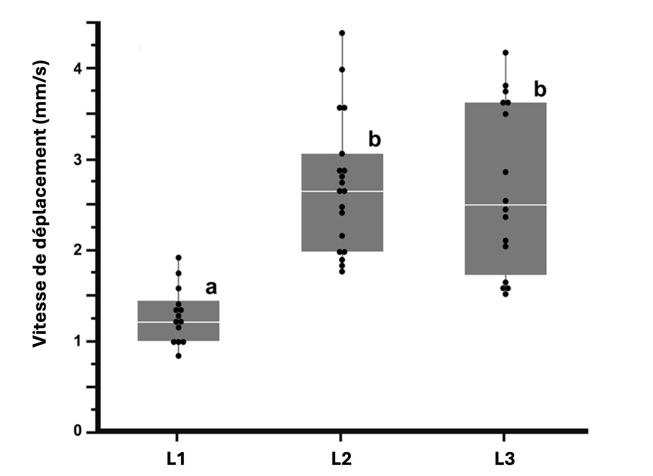
Ce mouvement est répété rapidement : 3,8 fois par seconde pour les L1 et 4,4 à 4,5 fois par seconde pour les L2-L3. Bien que ces larves soient minuscules, cela produit une vitesse de déplacement moyenne relativement élevée : pour les L1, « 1,27 mm/s, tandis que celle des larves des deuxième (2,71 mm/s) et troisième (2,69 mm/s) stades était supérieure ». Cette vitesse moyenne diffère significativement d'un stade à l'autre, les L1 étant plus lentes que les L2-L3 (p < 0,001). Toutefois, lorsqu'ils ramène la distance parcourue par seconde à la longueur moyenne du corps de la larve, ce sont les L1 les plus efficaces : elles se déplacent de 0,77 fois la longueur de leur corps par seconde, contre 0,66 pour les L2 et 0,62 pour les L3.
Un travail consacré au déplacement des puces adultes avait été conduit à l'élevage de puces de l'ENV de Toulouse et publié en 2000, qui démontrait (entre autres) que les puces du chien sautaient plus haut que celles du chat. En 2008, ses auteurs se sont vu décerner l'Ig Nobel, dans la catégorie biologie. Il est donc possible que les auteurs de la présente étude sur la vitesse de déplacement des larves de puces du chat soient eux-aussi distingués par le même comité.
30 janvier 2026
3 min
29 janvier 2026
4 min
28 janvier 2026
4 min
27 janvier 2026
5 min
26 janvier 2026
3 min